Do tej Lekcji wyjątkowo nie dołączyłem Video ani Zadania Domowego. Metodę możesz poćwiczyć, rozwiązując nią układy z następnej Lekcji (o metodzie Gaussa).
Znajdziesz w niej za to artykuł. gdzie przedstawię, w jaki sposób rząd macierzy wykorzystywać można w rozwiązywaniu układów równań liniowych metodą Kroneckera-Capellego (bardziej prawidłowo: metodą wykorzystującą twierdzenie Kroneckera-Capellego). W artykule zakładam, że wiesz już, jak się liczy rząd macierzy i układy równań wzorami Cramera.
Temat: Twierdzenie Kroneckera-Capellego
Twierdzenie Kroneckera-Capellego
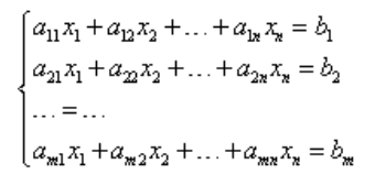
Twierdzenie Kroneckera-Capellego wykorzystujące rząd macierzy jest naprawdę bardzo proste. Mając dowolny (to jest super-istotne, znaczy, że niewiadomych nie musi być tyle samo, co równań) układ równań:

Nasz układ – zwróć uwagę – ma m równań i n niewiadomych. Rząd macierzy głównej to rząd macierzy utworzonej ze współczynników przy niewiadomych, czyli:

Oczywiście nie musi to być macierz kwadratowa. Rząd macierzy uzupełnionej to rząd macierzy utworzonej ze współczynników przy niewiadomych z dodaną kolumną wyrazów wolnych (po prawych stronach równości):

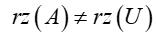
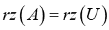
Twierdzenie Kroneckera-Capellego stwierdza, że układ ma rozwiązania wtedy i tylko wtedy, gdy rząd macierzy głównej równy jest rzędowi macierzy uzupełnionej:
. Z twierdzenia wynikają następujące wnioski:
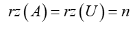
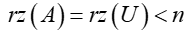
- Jeżeli rząd macierzy głównej, rząd macierzy uzupełnionej i liczba niewiadomych w układzie są równe (
) to układ równań ma dokładnie jedno rozwiązanie. - Jeżeli rząd macierzy głównej jest taki sam jak rząd macierzy uzupełnionej, ale jest mniejszy od liczby niewiadomych (
) to układ równań ma nieskończenie wiele rozwiązań. - Jeżeli rząd macierzy głównej jest różny od rzędu macierzy uzupełnionej (
), wtedy układ równań nie ma rozwiązań.
Zastosowanie twierdzenia Kroneckera-Capellego (metoda rozwiązania układu równań)
Twierdzenie znamy. Pozostaje kwestia, jak zastosować je w praktyce. Najbardziej „czystą” (ale niestety także czasochłonną) metodą jest policzenie po prostu obu rzędów (rzędu macierzy głównej
i rzędu macierzy uzupełnionej
) zupełnie osobno, na końcu interpretacja wyniku, „obcięcie” układu do układu Cramera (poprzez ewentualne wykreślenie niektórych równań i zastąpienie niektórych zmiennych parametrami) i rozwiązanie otrzymanego układu Cramera. Tą metodę pokażę Tobie dalej w artykule. Można też liczyć oba rzędu jednocześnie na jednej macierzy, można jednocześnie zerować wiersze lub kolumny, można liczyć właściwie metodą Gaussa… Czasem wydaje mi się, że ile profesorów tyle metod. Oczywiście, wszystkie są dobre, o ile prowadzą do celu, jakim jest rozwiązanie układu.
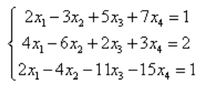
Przykład

Mamy do rozwiązania powyższy układ równań. Najpierw oczywiście sprawdzamy, czy nie jest to układ Cramera, tzn. czy ma tyle samo równań, co niewiadomych i czy wyznacznik główny układu jest różny od zera. Oczywiście nie jest to układ Cramera, bo mamy w nim 3 równania i 4 niewiadome. Układu nie rozwiązujemy więc w tej chwili wzorami Cramera, tylko przechodzimy do rzędów macierzy i twierdzenia Kroneckera-Capellego. Na początku liczymy rząd macierzy głównej, czyli:

Liczymy, liczymy, liczymy, tak jak się liczy rzędy macierzy (zapraszam na przykład do mojego Kursu – to jest naprawdę proste) i mamy wynik:

Teraz liczymy rząd macierzy uzupełnionej:

Liczymy, liczymy, liczymy i mamy wynik:

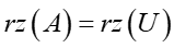
Mamy zatem sytuację:
. Rząd macierzy głównej jest równy rzędowi macierzy uzupełnionej i są one równe 3 (to istotne). Czyli układ będzie miał rozwiązanie i liczymy dalej. Piszemy jeszcze raz macierz główną:

A teraz wybieramy z niej jakikolwiek wyznacznik stopnia
. W naszym przypadku rząd macierzy głównej i uzupełnionej wyszedł równy 3, czyli wybieramy jakikolwiek wyznacznik 3-go stopnia – ale uwaga – musi to być wyznacznik różny od zera (trzeba policzyć i sprawdzić na boku). Wybrany wyznacznik bierzemy w ramkę:

Teraz tworzymy układ równań wyłącznie z równań, których wiersze znalazły się w naszym wyznaczniku (pozostałe równania nie piszemy w ogóle) oraz wyłącznie z niewiadomych, których kolumny znalazły się w naszym wyznaczniku (pozostałe niewiadome zastępujemy parametrami). W naszym przykładzie utworzymy układ równań składający się z równania pierwszego, drugiego i trzeciego (bo pierwszy, drugi i trzecie wiersz znalazły się w wyznaczniku):

Tak się składa, że będą to wszystkie równania. Co do niewiadomych, patrzymy na kolumny, które dostały się do wybranego wyznacznika:
Jest to pierwsza, druga i trzecia niewiadoma:
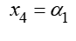
. „Nie załapała się” czwarta niewiadoma, czyli
. Zastępujemy ją parametrem:
, gdzie
przyjmuje dowolną wartość, czyli
. Parametry można oznaczać różnymi innymi literkami, np „t”, można też nie oznaczać je literkami w ogóle, tylko po prostu zacząć traktować je jako parametry bez zmiany oznaczeń. Tworzymy nowy układ równań:

Parametry traktujemy w nim jak liczby, czyli przerzucamy na prawą stronę:

Jest to układ Cramera i rozwiązujemy go wzorami Cramera. Jak utworzyć wyznaczniki do kolejnych zmiennych? Po prostu potraktować na przykład:
– jako jedną liczbę. Na przykład:
a jego wartość:
. Otrzymamy rozwiązanie:
dla
.
Dodatkowe materiały video
Artykuły i posty na blogu związane z tą Lekcją
- „Układy równań liniowych z parametrem”
- „Różne wyniki z twierdzeniem Kroneckera-Capellego – co robić? (VIDEO)„
- „Układ równań z parametrem do wyznaczenia„
- „Układy równań jednorodne (liczba rozwiązań przy użyciu rzędu macierzy)„
- „Gauss vs Cramer vs Kronecker–Capelli – macierze w rozwiązywaniu układów równań liniowych„
- „Największy problem z macierzami…„
